- ‘Chiral catalysis-driven rotary molecular motors’, H-K Liu, B M W Roberts, S Borsley, R W Adams, G F S Whitehead, A Hasija and D A Leigh, Nat Chem, 148, published online 16 January 2026.

- ‘Clean electrospray deposition of porphyrin molecules and polyethylene glycol chains onto a Au(100) surface’, K Kolar, M Kappe, H Siboni, I Gazizullin, G J Simpson, C Nacci, C M Storey, D A Leigh and L Grill, J Phys Chem C, 130, 650-660 (2026).
- ‘Structure-performance relationships for catalysis-driven molecular machinery’, J Baixeras Buye, J M Gallagher, D A Leigh, Chem, 12, 102742 (2026).

- ‘Reaction: Of myths, misconceptions and motors—a matter of equilibrium’, D A Leigh, Chem, 11, 102745 (2025).

- ‘Multiple template site Nitrogen atom deletions from rotaxanes, catenanes, and a molecular knot’, D P Couto, Q Lin, J B M Whittingham, D J Tetlow, J Zhong, P Howlader, and D A Leigh, J Am Chem Soc, 147, 33304-33314 (2025)

- ‘Crown ether–peptide rotaxanes’, P-L Wang, P Chen, R Yang, D J Tetlow, Z-H Zhang, J Han, S D P Fielden, P Howlader, L Zhang and D A Leigh, Angew Chem Int Ed, 64, e202513115 (2025).

- ‘In situ quantification of directional rotation by a catalysis-driven azaindole-N-oxide–phenoic acid molecular motor’, H-K Liu, A Troncossi, B M W Roberts, S Borsley and D A Leigh, J Am Chem Soc, 147, 29534–29541 (2025).

- ‘Metal-free active template synthesis of catenanes’, J Zhong, E Olivieri, P Zwick, A Troncossi, A S Baluna, D J Tetlow, G F S Whitehead, A Hasija and D A Leigh, Angew Chem Novit, 1, e70004 (2025). [Cover feature, Angew Chem Novit]

[For highlights of this paper see, 'Acceleration of [2]catenane formation by one of its rings’, J.-C. Chambron, Angew Chem Int Ed, 64, e202520104 (2025)]
- ‘Synthesis of a station-less molecular daisy chain’, C Kress, D Häussinger, D A Leigh and M Mayor, Chem Eur J, 31, e202501369 (2025).

[For highlights of this paper see, Chemistry Europe Editors' Choice: Spotlights 20 May 2025.]
- ‘A catalysis-driven dual molecular motor’, P-L Wang, E Olivieri, S Borsley, G F S Whitehead, A Hasija and D A Leigh, J Am Chem Soc, 147, 10690-10697 (2025).

- ‘Structural influence of the chemical fueling system on a catalysis-driven rotary molecular motor’, H-K Liu, T W Mrad, A Troncossi, S Borsley, B M W Roberts, A Betts and D A Leigh, J Am Chem Soc, 147, 8785-8795 (2025).

- ‘Transducing chemical energy through catalysis by an artificial molecular motor’, P-L Wang, S Borsley, M J Power, A Cavasso, N Giuseppone and D A Leigh, Nature, 637, 594–600 (2025).

- ‘Out-of-equilibrium compartments: Thinking inside the box’, J M Gallagher, J Baixeras Buye, and D A Leigh, Chem, 10, 3526-3528 (2024).

- ‘Skeletal editing of mechanically interlocked molecules: Nitrogen atom deletion from crown ether-dibenzylammonium rotaxanes’, M Gauthier, J B M Whittingham, A Hasija, D J Tetlow, and D A Leigh, J Am Chem Soc, 146, 29496-29502 (2024).

[For highlights of this paper see, 'Skeletal editing technique removes nitrogen atoms from rotaxanes’, Chem World, published online 12 June 2024. 'Open rotaxane surgery: what molecular editing can offer to supramolecular chemistry?’, ChemPlusChem, 90, e202500038 (2025).
- ‘Active template synthesis’, R Jamagne, M J Power, Z-H Zhang, G Zango, B Gibber and D A Leigh, Chem Soc Rev, 53, 10216-10252 (2024).

- ‘Folding a molecular strand into a trefoil knot of single handedness with Co(II)/Co(III) chaperones’, J Zhong, Z Sun, L Zhang, G F S Whitehead, I J Vitorica-Yrezabal and D A Leigh, J Am Chem Soc, 146, 21762-21768 (2024).

- ‘Mechanical scission of a knotted polymer’, M Zhang, R Nixon, F Schaufelberger, L Pirvu, G De Bo and D A Leigh, Nat Chem, 16, 1366-1372 (2024).

[For highlights of this paper see, 'Increasing polymer scission rate by tying an overhand knot’ , Y Hu, J T Ou, J Y Huang, Y Feng, Sci China Chem, published online 12 June 2024.
- ‘Macroscopic spiral rotation of microscopic objects induced by nanoscale rotaxane dynamics’, A Ryabchun, R Jamagne, J Echavarren, M Patanapongpibul, L Zhang, N Katsonis and D A Leigh, Chem, 10, 2196-2206 (2024).

- ‘Molecular ratchets and kinetic asymmetry: Giving chemistry direction’, S Borsley, D A Leigh and B M W Roberts, Angew Chem Int Ed, 63, e202400495 (2024).

- ‘Endergonic synthesis driven by chemical fuelling’, E Olivieri, J M Gallagher, A Betts, T W Mrad, and D A Leigh, Nat Synth, 3, 707–714 (2024).

[For highlights of this paper see, 'Synthesis goes uphill', (N&Vs), M Stasi, H Soria-Carrera, J Boekhoven, Nat Synth, 3, 673–674 (2024); 'Pushing the ball uphill: energetically unfavourable Diels-Alder reaction driven by chemical fuel', Chem World, 19 March 2024;]
- ‘Changing liquid crystal helical pitch with a reversible rotaxane switch’, S Chen, N Katsonis, D A Leigh, M Patanapongpibul, A Ryabchun and L Zhang, Angew Chem Int Ed, 6, e202401291 (2024).

- ‘Stepwise operation of a molecular rotary motor driven by an Appel reaction’, P Zwick, A Troncossi, S Borsley, I J Vitorica-Yrezabal, and D A Leigh, J Am Chem Soc, 146, 4467-4472 (2024).

- ‘Ratcheting synthesis’, S Borsley, J M Gallagher, D A Leigh and B M W Roberts, Nat Rev Chem, 8, 8-29 (2024).

- ‘Non-equilibrium structure and dynamics: Giving chemistry direction’, D A Leigh, Chemistry Challenges of the 21st Century. Proceedings of the 100th Anniversary of International Solvay Conferences on Chemistry, Ed. K. Wüthrich, B. L. Feringa, L. Rongy and A. De Wit, pp 111-115 (2024).

- ‘Conformational selection accelerates catalysis by an organocatalytic molecular motor’, J M Gallagher, B M W Roberts, S Borsley and D A Leigh, Chem, 10, 855-866 (2024).

[For highlights of this paper see, 'Advancing beyond Sabatier: Strategies for dynamic synthetic catalysts', M Filez, J Dendooven, M B J Roeffaers, C Detavernier, Chem, published online 4 March 2024; 'Catenane organocatalyst breaks the linear scaling limitation through conformational selection', C Wang, Commun Chem, 7 9 (2024); 'Motorized catalysis', F Zamberlan, Nat Catal, 6, 1101 (2023);
- ‘Switched “on” transient fluorescence output from a pulsed-fuel molecular ratchet’, A S Baluna, M Dommaschk, B Groh, S Kassem, D A Leigh, D J Tetlow, D Thomas and L V López, J Am Chem Soc, 145, 27113-27119 (2023).

- ‘The role of kinetic asymmetry and power strokes in an information ratchet’, L Binks, S Borsley, T R Gingrich, D A Leigh, E Penocchio, and B M W Roberts, Chem, 9, 2902-2917 (2023).

[For highlights of this paper see, 'Nonequilibrium steady states, ratchets, and kinetic asymmetry’ (Preview), R D Astumian, Matter 6, 2533-2536 (2023).]
- ‘Single-molecule studies on artificial small-molecule machines’, Z-H Zhang, H-N Feng, G Chi, D A Leigh and L Zhang, CCS Chem, 5, 2448-2465 (2023).

- ‘In search of Wasserman’s catenane’, A S Baluna, A Galan, D A Leigh, G D Smith, J T J Spence, D J Tetlow, I J Vitorica-Yrezabal and M Zhang, J Am Chem Soc, 145, 9825-9833 (2023).

[Most read J. Am. Chem. Soc. papers, May 2023. For highlights of this paper see, '(Self) assembled news: recent highlights from the supramolecular chemistry literature' Supramolecular Chemistry, published online 29th August 2023; 'New results vindicate suspect 63-year-old claim on synthesis of first catenane' Chem World, 19th May 2023; 'Did this compound ever exist?' Derek Lowe, In the Pipeline, 19th May 2023; 'Reimagining Wasserman’s catenane: A journey from past to present (1960–2023)' (Preview), D Ahn, N Kabir, T Prakasam and A Trabolsi, Chem, published online 23 May 2023.]
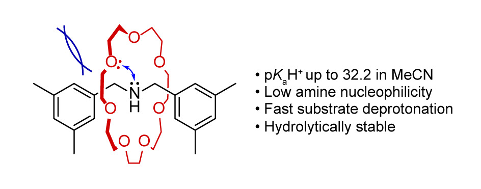
- ‘Compact rotaxane superbases’, M J Power, D T J Morris, I J Vitorica-Yrezabal and D A Leigh, J Am Chem Soc, 145, 8593-8599 (2023).

[Most Read J. Am. Chem. Soc. papers, April 2023]
- 'Mechanical tightening of a synthetic molecular knot', M Calvaresi, A-S Duwez, D A Leigh, D Sluysmans, Y Song, F Zerbetto and L Zhang, Chem, 9, 65-75 (2023). [Featured on the cover of Chem].

- 'Using catalysis to drive chemistry away from equilibrium: relating kinetic asymmetry, power strokes, and the Curtin-Hammett principle in Brownian ratchets', S Amano, M Esposito, E Kreidt, D A Leigh, E Penocchio and B M W Roberts, J Am Chem Soc, 144, 20153-20164 (2022).

- 'A tape-reading molecular ratchet', Y Ren, R Jamagne, D J Tetlow and D A Leigh, Nature, 612, 78–82 (2022).

[For highlights of this paper see, 'Chemical Turing machine reads molecular tape' Chem World, 26th October 2022; 'A molecular-based, finite-state machine' Phys Org, 27th October 2022; 'Crown ether reads out stereochemistry along a molecular tape' ChemistryViews, 21th October 2022; 'The Sci-Fi Dream of a ‘Molecular Computer’ Is Getting More Real' Wired, 3rd November 2022; 'Scientists Build the First Crucial Components of a Molecular Computer' Singularity Hub, 7th November 2022; 'Molekularer Computer ist einen Schritt weiter: Kritische Komponente entwickelt’ (in German) Heise Online, 30th November 2022; 'L'ordinateur chimique’ (in French) Epsiloon, January 2023.]
- 'Tuning the force, speed, and efficiency of an autonomous chemically fuelled information ratchet', S Borsley, D A Leigh, B M W Roberts and I J Vitorica-Yrezabal, J Am Chem Soc, 144, 17241-17248 (2022).

- 'Social self-sorting synthesis of molecular knots', Z Ashbridge, O M Knapp, E Kreidt, D A Leigh, L Pirvu and F Schaufelberger, J Am Chem Soc, 144, 17232-17240 (2022).

- 'Transamidation-driven molecular pumps', L Binks, C Tian, S D P Fielden, I J Vitorica-Yrezabal and D A Leigh, J Am Chem Soc, 144, 15838-15844 (2022).

[For highlights of this paper see, 'Artificial active transport offers new way to prepare complex oligorotaxanes’ Chem World, 7th September 2022’.]
- 'Knotting matters: orderly molecular entanglements', Z Ashbridge, S D P Fielden, D A Leigh, L Pirvu, F Schaufelberger and L Zhang, Chem Soc Rev, 51, 7779-7809 (2022). [Featured on the cover of Chem Soc Rev].

- 'Chemical fuels for molecular machinery', S Borsley, D A Leigh and B M W Roberts, Nat Chem, 14, 728-738 (2022).

[For highlights of this paper see, ‘Fueling controversy’, Chem & Eng News, 101(5), 22-27 (2023).]
- 'Decorating polymer beads with 1014 inorganic-organic [2]rotaxanes as shown by spin counting', D Asthana, D Thomas, S J Lockyer, A Brookfield, G A Timco, I J Vitorica-Yrezabal, G F S Whitehead, E J L McInnes, D Collison, D A Leigh and R E P Winpenny, Commun Chem, 5, 73 (2022).

[For highlights of this paper see, 'Record-breaking rotaxane prepared on polymer bead’ Chem World, 4th July 2022’.]
- ‘Foreword', D A Leigh, pp. XIV-XV, in 'Women in Supramolecular Chemistry: Collectively Crafting the Rhythms of Our Work and Lives in STEM', J Leigh, J Hiscock, A McConnell, C Haynes, C Caltagirone, M Kieffer, E Draper, A Slater, L K S von Krbek, K Hutchins, D Watkins and N Busschaert, Policy Press, Bristol, UK (2022).

- 'Autonomous fuelled directional rotation about a covalent single bond', S Borsley, E Kreidt, D A Leigh and B M W Roberts, Nature, 604, 80–85 (2022).

[For highlights of this paper see, 'Tiny labmade motors are poised to do useful work’ Science 376, 233 (2022)’; ‘Molecular ratchet made from only 26 atoms rotates in one direction’, J. Durrani Chem. World, 19 April 2022; 'A biological motor that consumes chiral fuel drives rotation in one direction around a single covalent bond’ Phys Org, 20 April 2022; 'Autonomous fuelled directional rotation’ ChemistryViews, 22 April 2022.]
- 'Pumping between phases with a pulsed-fuel molecular ratchet', D Thomas, D J Tetlow, Y Ren, S Kassem, U Karaca and D A Leigh, Nat Nanotechnol, 17, 701–707 (2022).

[For highlights of this paper see, 'Tiny labmade motors are poised to do useful work’ Science 376, 233 (2022)’.]
- 'Insights from an information thermodynamics analysis of a synthetic molecular motor', S Amano, M Esposito, E Kreidt, D A Leigh, E Penocchio and B M W Roberts, Nat Chem, 14, 530-537 (2022).

- 'Vernier template synthesis of molecular knots', Z Ashbridge, E Kreidt, L Pirvu, F Schaufelberger, J Halldin Stenlid, F Abild-Pedersen and D A Leigh, Science, 375, 1035-1041 (2022).

[For highlights of this paper see, ‘Chemists tie a knot with 12 crossings’, Chem & Eng News, 11 March 2022; ‘Химики получили циклический молекулярный узел с 12 перекрестьями’ (in Russian), NPlus1, 3 March 2022; ‘“错”就是对:Science报道合成分子结的Vernier模板法’’ (in Chinese), K. Du, X-Mol, 11 March 2022; ‘‘把“分子打结”做到极致’’ (in Chinese), Frontiers in Polymer Science, 3 March 2022.]
- 'Molecular weaving', Z-H Zhang, B J Andreassen, D P August, D A Leigh and L Zhang, Nat Mater, 21, 275-283 (2022). [Featured on the cover of Nat. Mater.].

- 'Real-time observation of the dynamics of an individual rotaxane molecular shuttle using a single molecule junction', S Chen, D Su, C Jia, Y Li, X Li, X Guo, D A Leigh and L Zhang, Chem, 8, 243-252 (2022).

- 'Chemical engines: Driving systems away from equilibrium through catalyst reaction cycles', S Amano, S Borsley, D A Leigh and Z Sun, Nat Nanotechnol, 16, 1057-1067 (2021).

- 'A catalysis-driven artificial molecular pump', S Amano, S D P Fielden and D A Leigh, Nature, 594, 529-534 (2021).

- 'Sequence-selective decapeptide synthesis by the parallel operation of two artificial molecular machines', J Echavarren, M A Y Gall, A Haertsch, D A Leigh, J T J Spence, D J Tetlow and C Tian, J Am Chem Soc, 143, 5158-5165 (2021).

- 'A doubly kinetically-gated information ratchet autonomously driven by carbodiimide hydration', S Borsley, D A Leigh and B M W Roberts, J Am Chem Soc, 143, 4414-4420 (2021).

- 'Site-to-site peptide transport on a molecular platform using a small-molecule robotic arm', S Kassem, A T L Lee, D A Leigh, A Markevicius, D J Tetlow and N Toriumi, Chem Sci, 12, 2065-2070 (2021).

- 'Effects of turn-structure on folding and entanglement in artificial molecular overhand knots', Y Song, F Schaufelberger, Z Ashbridge, L Pirvu, I J Vitorica-Yrezabal and D A Leigh, Chem Sci, 12, 1826-1833 (2021).

- 'Real-time fluctuations in single-molecule rotaxane experiments reveal an intermediate weak binding state during shuttling', D Sluysmans, P Lussis, C-A Fustin, A Bertocco, D A Leigh and A-S Duwez, J Am Chem Soc, 143, 2348-2352 (2021).

- 'A chiral cyclometalated Iridium Star of David [2]catenane', D P August, J Jaramillo-Garcia, D A Leigh, A Valero and I J Vitorica-Yrezabal, J Am Chem Soc, 143, 1154-1161 (2021).

[For highlights of this paper see, ‘Star of David catenane shines with both Ir and Zn’, Chem & Eng News, 99(2), (2021); ‘Chiral star-shaped catenane’, ChemistryViews.Org, 19 Jan 2021.]
- 'A molecular endless (74) knot', D A Leigh, J J Danon, S D P Fielden, J-F Lemonnier, G F S Whitehead and S L Woltering, Nat Chem, 13, 117-122 (2021). [Featured on the cover of Nat Chem.; Behind-the-paper blogpost: 'Knots - an endless challenge', D A Leigh]

[For highlights of this paper see, ‘Untangling knotty problems’ (N&Vs), D Preston and P E Kruger, Nat Chem, 13, 114-116 (2021); ‘Weaving on the molecular scale’, Y Jiao and J F Stoddart, Matter, 4, 2582-2584 (2021); ‘Chemists tie an ‘endless’ knot — one of the most complex ever made’, Nature, 16 Dec 2020; ‘258-atom endless knot created with thiazole ligands’, Chem World, 21 Dec 2020; ‘Scientists discover a new type of molecular knot using X-ray diffraction techniques’, Phys Org, 17 Dec 2020; ‘Molekulare Webkunst: Ein keltischer Knoten im Nano-Maßstab’ (in German), Spektrum, 17 Dec 2020; ‘Химики «связали» молекулу в бесконечный узел’ (in Russian), NPlus1, 26 Dec 2020; ‘Molecular Art | Nature Chem: Weaving nano "Chinese knots"’ (in Chinese), X-Mol, 25 Dec 2020; ‘Nature Chem: Weaving nano "Chinese knots"’, ECNU News, 6 Jan 2021.]
- 'Self-assembly of a layered two-dimensional molecularly woven fabric', D P August, R A W Dryfe, S J Haigh, P R C Kent, D A Leigh, J-F Lemonnier, Z Li, C A Muryn, L I Palmer, Y Song, G F S Whitehead and R J Young, Nature, 588, 429-435 (2020). How it works.


[For highlights of this paper see, ‘Weaving on the molecular scale’, Y Jiao and J F Stoddart, Matter, 4, 2582-2584 (2021); ‘Chemists weave molecular fabric’, Chem & Eng News, 98(48), (2020); ‘Scientists awarded a Guinness World Record for the finest woven fabric’, Phys.Org, 19 Jan 2021; ‘Molecular Art | Nature: From Chinese knot to 2D molecular fabric’ (in Chinese), X-Mol, 26 Dec 2020; ‘Scientists invent fabric 33,000 times finer than Egyptian linen using microscopic knots’, iNews, 19 Jan 2021; ‘Galardonados con un récord Guinness por el tejido más fino del mundo’ (in Spanish), EuropaPress, 19 Jan 2021; ‘Chemiker erzeugen das feinste Gewebe der Welt’ (in German), Scinexx, 21 Jan 2021; ‘Designing nanotechnology: Weaving molecular fabric’, Biocinematics, 18 Jan 2021; ‘Weaving a molecular patchwork’, Hot Topics, NatureAsia 17 Jan 2021; ‘Researchers demonstrate molecularly woven fabric’, Nanowerk News, 22 Jan 2021; ‘University of Manchester scientists awarded a Guinness World Record for the ‘Finest Woven Fabric’’, Cotton Sheets News, 22 Jan 2021; ‘Phil Kennedy Show’, BBC Radio Berkshire, 22 Jan 2021.]
- 'Transmembrane ion channels formed by a Star of David [2]catenane and a molecular pentafoil knot', D P August, S Borsley, S L Cockroft, F della Sala, D A Leigh and S J Webb, J Am Chem Soc, 142, 18859-18865 (2020).

- 'A track-based molecular synthesizer that builds a single-sequence oligomer through iterative carbon-carbon bond formation', C T McTernan, G De Bo and D A Leigh, Chem, 6, 2964-2973 (2020). Featured on the cover of Chem (image credit: Jo Richers; www.jorichers.com).

[For highlights of this paper see, ‘On the right “track” to artificial assemblers’, R Costil, A Guinart and B L Feringa, Chem, 6, 2868-2870 (2020); ‘Diverging from nature: a new reactivity for molecular synthesizers’, C T McTernan, Chem, 6, 2862-2864 (2020); ‘Editors' Favorite Articles 2020’, Chem.]
- ‘Tying different knots in a molecular strand’, D A Leigh, F Schaufelberger, L Pirvu, J Halldin Stenlid, D P August and J Segard, Nature, 584, 562-568 (2020).

[For highlights of this paper see, ‘Tying knots in a molecular string’, Chem & Eng News, 98(34), (2020); ‘Scientists perfect knot-tying techniques with molecular string’, Phys.org, 27 Aug 2020; ‘Math in the Media’, T. Phillips, Am Math Soc, 2 Nov 2020; ‘Tying knots with individual molecules’, Nanowerk News, 27 Aug 2020; ‘Nyskapande syntetisk metod för att knyta molekylära knutar (in Swedish)’, Stockholm University News, 27 Aug 2020; ‘Tying a molecule into different knots’, ChemViews, 09 Sept 2020; ‘One molecular chain, multiple knots (in Chinese)’, X-Mol, 27 Aug 2020; ‘Molecules of the Year 2020’, Chem & Eng News, 98(48), (2020)]
- 'Knotting a molecular strand can invert macroscopic effects of chirality', N Katsonis, F Lancia, D A Leigh, L Pirvu, A Ryabchun and F Schaufelberger, Nat. Chem., 12, 939-944 (2020). [Behind-the-paper blogpost: 'Knotting to see here', F Schaufelberger]

[For highlights of this paper see, ‘Knotted molecules can transfer chirality from the nano to the macroscale’, Chem World, 6 Aug 2020.]
- 'Single-step enantioselective synthesis of mechanically planar chiral [2]rotaxanes using a chiral leaving group strategy', C Tian, S D P Fielden, B Pérez-Saavedra, I J Vitorica-Yrezabal and D A Leigh, J Am Chem Soc, 142, 9803-9808 (2020).

[For highlights of this paper see, ‘Point to Mechanically Chiral Planes’, T M Swager, B McDonald, Synfacts, 16, 0917 (2020).]
- 'Weak functional group interactions revealed through metal-free active template rotaxane synthesis', C Tian, S D P Fielden, G F S Whitehead, I J Vitorica-Yrezabal and D A Leigh, Nat Commun, 11, 744 (2020).:
Featured in Nat Commun Focus: Nanoscale & Supramolecular Chemistry, 6 Feb 2020.

[For highlights of this paper see, ‘Party of Rotaxanes’, T M Swager, Q He, Synfacts, 16, 0405 (2020).]
- 'Dynamic control of chiral space through local symmetry breaking in a rotaxane organocatalyst', M Dommaschk, J Echavarren, D A Leigh, V Marcos and T A Singleton, Angew Chem Int Ed, 58, 14955-14958 (2019).

- ‘Self-sorting assembly of molecular trefoil knots of single handedness’, J Zhong, L Zhang, D August, G F S Whitehead and D A Leigh, J Am Chem Soc, 141, 14249-14256 (2019).

- ‘Active template rotaxane synthesis through the Ni-catalyzed cross-coupling of alkylzinc reagents with redox-active esters’, J Echavarren, M A Y Gall, A Haertsch, D A Leigh, V Marcos and D J Tetlow, Chem Sci, 10, 7269-7273 (2019).

- ‘Dissipative catalysis with a molecular machine’, C Biagini, S D P Fielden, D A Leigh, F Schaufelberger, S Di Stefano and D Thomas, Angew Chem Int Ed, 58, 9876-9880 (2019). [Hot Paper] Featured on the cover of Angew Chem Int Ed (image credit: Dr. Anna Tanczos, SciComm Studios).

- ‘Stereoselective synthesis of molecular square and granny knots’, D A Leigh, L Pirvu and F Schaufelberger, J Am Chem Soc, 141, 6054-6059 (2019).

- ‘Coordination chemistry of a molecular pentafoil knot’, L Zhang, A J Stephens, J-F Lemonnier, L Pirvu, I J Vitorica-Yrezabal, C J Robinson and D A Leigh, J Am Chem Soc, 141, 3952-3958 (2019).

- ‘Probing the dynamics of imine-based pentafoil knot and pentameric circular helicate assembly’, J-F Ayme, J E Beves, C J Campbell and D A Leigh, J Am Chem Soc, 141, 3605-3612 (2019).

- ‘Effects of knot tightness at the molecular level’, L Zhang, J-F Lemonnier, A Acocella, M Calvaresi, F Zerbetto and D A Leigh, Proc Natl Acad Sci USA, 116, 2452-2457 (2019).

[For a highlight of this paper see, ‘Nano-nodi molecolari per i materiali del futuro (in Italian)’, Galileonet.it, 31 Jan 2019]
- ‘Analysis of two [2]catenanes based on electron densities from invariom refinement and results from DFT calculations’, P Luger, B Dittrich, S Mebs, A M Z Slawin and D A Leigh, Z. Naturforsch., 73b, 677-687 (2018).

- ‘Stereoselective synthesis of a composite knot with nine crossings’, L Zhang, A J Stephens, A L Nussbaumer, J-F Lemonnier, P Jurček, I J Vitorica-Yrezabal and D A Leigh, Nature Chem, 10, 1083-1088 (2018). Featured on the cover of Nat Chem.

[For highlights of this paper see, ‘What tangled webs we weave’ (N&Vs), E E Fenlon, Nature Chem, 10 Sept 2018; ‘Chemists tie most complex molecular knot to date’, Chem & Eng News, 10 Sept 2018; ‘The world’s most complex molecular knot ties up a record’, Nature, 10 Sept 2018; ‘Chemists weave granny and triple trefoil knots’, Chem World, 11 Sept 2018; ‘Researchers create most tangled interlocked molecule ever’, Phys.org, 12 Sept 2018; ‘Der kleinste Dreifachknoten der Welt (in German)’, Spektrum.de, 13 Sept 2018; ‘Kemikere skaber molekyle med ni knuder (in Danish)’, Ingeniøren, 13 Sept 2018; ‘Molecules of the Year 2018’, Chem & Eng News, 96(49), 40-41 (2018)]
- ‘A six-crossing doubly interlocked [2]catenane with twisted rings, and a molecular granny knot’, J J Danon, D A Leigh, S Pisano, A Valero and I J Vitorica-Yrezabal, Angew Chem Int Ed, 57, 13833-13837 (2018).

[For a highlight of this paper see, ‘Chemists weave granny and triple trefoil knots’, Chem World, 11 Sept 2018]
- ‘Comment on “Coordination-Driven Self-Assembly of a Molecular Knot Comprising Sixteen Crossings"’, D A Leigh, J-F Lemonnier and S L Woltering, Angew Chem Int Ed, 57, 12212-12214 (2018).

- ‘Spontaneous assembly of rotaxanes from a primary amine, crown ether and electrophile’, S D P Fielden, D A Leigh, C T McTernan, B Pérez-Saavedra and I J Vitorica-Yrezabal, J Am Chem Soc, 140, 6049-6052 (2018).

- ‘Securing a supramolecular architecture by tying a stopper knot’, D A Leigh, L Pirvu, F Schaufelberger, D J Tetlow and L Zhang, Angew Chem Int Ed, 57, 10484-10488 (2018). [VIP paper] Featured as the Frontispiece (image credit: Jo Richers; www.jorichers.com).

- ‘An artificial molecular machine that builds an asymmetric catalyst’, G De Bo, M A Y Gall, S Kuschel, J De Winter, P Gerbaux and D A Leigh, Nature Nanotech, 13, 381-385 (2018).

[For highlights of this paper see, ‘"Cyborg ribosome" decodes polystyrene message to manufacture catalyst’, Chem World, 18 April 2018; ‘Things molecules can do’, Nature Nanotech, 13, 353 (2018); ‘Химики заставили рибосомы производить катализаторы (in Russian)’, Nplus1, 23 April 2018; ‘Research of the Year 2018’, Chem World, January 2019, p 31]
- ‘A molecular trefoil knot from a trimeric circular helicate’, L Zhang, D P August, J Zhong, G F S Whitehead, I J Vitorica-Yrezabal and D A Leigh, J Am Chem Soc, 140, 4982-4985 (2018).

[For a highlight of this paper see, ‘Molecular knot made from trimeric circular helicate’, ChemistryViews, 22 March 2018]
- ‘Molecular machines with bio-inspired mechanisms’, L Zhang, V Marcos and D A Leigh, Proc Natl Acad Sci USA, 115, 9397-9404 (2018).

- ‘Transient two-dimensional vibrational spectroscopy of an operating molecular machine’, M R Panman, C N van Dijk, A Huerta-Viga, H J Sanders, B H Bakker, D A Leigh, A M Brouwer, W J Buma and S Woutersen, Nature Commun, 8, 2206 (2017).

- 'Rotary and linear molecular motors driven by pulses of a chemical fuel’, S Erbas-Cakmak, S D P Fielden, U Karaca, D A Leigh, C T McTernan, D J Tetlow and M R Wilson, Science, 358, 340-343 (2017).

[For highlights of this paper see, ‘Chemical Fuel Pulses Power Rotary and Linear Nanomotors’, Nanotechweb.org, 26 Oct 2017; ‘诺奖结果,再获进步:Leigh组Science报道化学燃料驱动的分子马达和分子泵 (in Chinese)’, X-Mol.com, 30 Oct 2017]
- 'Stereodivergent synthesis with a programmable molecular machine’, S Kassem, A T L Lee, D A Leigh, V Marcos, L I Palmer and S Pisano, Nature, 549, 374-378 (2017).

[For highlights of this paper see, ‘A molecular assembler’ (N&Vs) T R Kelly and M L Snapper, Nature, 549, 336-337 (2017); ‘Molecular machine builds set of chiral molecules’ (News-of-the-week) Chem & Eng News, 95(38), 3 (2017); ‘Single molecular machine produces four chiral products’, Chem World, 21 Sep 2017; ‘Building Our Own Molecular Machines’, In The Pipeline, 25 Sep 2017; ‘Molecular robots’ (Up & Atom), FBi Radio, 26 Sep 2017; ‘Molecular robot builds four types of molecules’, Foresight Institute, 30 Sep 2017; ‘A molecule-sized synthetic robot’, T M Swager and N A Romero, Synfacts, 13, 1262 (2017); ‘Scientists create world's first 'molecular robot' capable of building molecules’, Phys Org, 20 Sep 2017; ‘Robo-Doc’, Daily Mail, 5 Dec 2017; ‘Manchester team creates 'world’s first' molecular robots’, The Engineer, 21 Sep 2017; ‘World's first 'molecular robot' can build molecules’, UPI.com, 21 Sep 2017; ‘Scientists create world's first 'molecular robot' capable of building molecules’, Nanowerk, 21 Sep 2017; ‘World's first minuscule molecule-building robot paves way for molecular factories’, factor-tech.com, 20 Sep 2017; ‘Nanobots — at last’, frogheart.ca, 20 Sep 2017; ‘Molecular Robots to Build Drug Molecules’, medGaget.com, 20 Sep 2017; ‘Scientists created the world’s first ‘molecular robot’ capable of building molecules - Top stories in science this week’, TheSrug.com, 24 Sep 2017; ‘Molecular machine builds set of chiral molecules - This Week in Chemistry’, CompoundInterest, 24 Sep 2017; ‘Primer robot molecular del mundo capaz de fabricar moléculas (in Spanish)’, Europa Press, 21 Jan 2017; ‘Éste es el primer robot que manipula directamente moléculas (in Spanish)’, Xataka Ciencia, 22 Jan 2017; ‘I Robot Molecolari Sono Il Futuro Delle Nanotecnologie (in Italian)’, Ultima Voce, 23 Jan 2017; ‘Robot molecolari capaci di costruire molecole (in Italian)’, Notizie Scientifiche, 20 Jan 2017; ‘Research of the Year 2017’, Chem & Eng News, 18 Dec 2017; ‘Molecule-building and synthesis-planning machines’, 2017s Biggest Chemistry Stories, CompoundChem, 30 Dec 2017]
- 'A complementary pair of enantioselective switchable organocatalysts’, G De Bo, D A Leigh, C T McTernan and S Wang, Chem Sci, 8, 7077-7081 (2017).

- 'Enzyme-mediated directional transport of a small-molecule walker with chemically-identical feet’, C J Martin, A T L Lee, R W Adams and D A Leigh, J Am Chem Soc, 139, 11998-12002 (2017).

- 'Sequence-specific β-peptide synthesis by a rotaxane-based molecular machine’, G De Bo, M A Y Gall, M O Kitching, S Kuschel, D A Leigh, D J Tetlow and J W Ward, J Am Chem Soc, 139, 10875-10879 (2017).

- 'Switching between anion-binding catalysis and aminocatalysis with a rotaxane dual-function catalyst’, K Eichstaedt, J Jaramillo-Garcia, D A Leigh, V Marcos, S Pisano and T A Singleton, J Am Chem Soc, 139, 9376-9381 (2017).

- '[2]Rotaxane formation by transition state stabilization’, G De Bo, G Dolphijn, C T McTernan and D A Leigh, J Am Chem Soc, 139, 8455-8457 (2017).

- 'Molecular knots’, S D P Fielden, D A Leigh and S L Woltering, Angew Chem Int Ed, 56, 11166-11194 (2017).

- 'Pyridyl-acyl hydrazone rotaxanes and molecular shuttles’, D A Leigh, V Marcos, T Nalbantoglu, I J Vitorica-Yrezabal, F T Yasar and X Zhu, J Am Chem Soc, 139, 7104-7109 (2017).

[For a highlight of this paper see, ‘Overcoming the limitations of molecular shuttles’ J Am Chem Soc, 139, 7131 (2017)]
- 'Artificial molecular motors’, S Kassem, T van Leeuwen, A S Lubbe, M R Wilson, B L Feringa and D A Leigh, Chem. Soc. Rev., 46, 2592-2621 (2017).

- ‘Braiding a molecular knot with eight crossings’, J J Danon, A Krüger, D A Leigh, J-F Lemonnier, A J Stephens, I J Vitorica-Yrezabal and S L Woltering, Science, 355, 159-162 (2017).
How it works.

[For highlights of this paper see, ‘Tight embrace in a molecular knot with eight crossings’, F B L Cougnon, Angew Chem Int Ed, published online 29 March 2017; ‘Braiding a molecular knot’ (News-of-the-week) [Version in English] [Version in Spanish] Chem & Eng News, 95(3), 3 (2017); ‘Molecule gets knotted’ Nature, 541, 262 (2017); ‘Braided molecules help scientists tie the knot’, Chem World, 12 Jan 2017; ‘Chemists have 'braided' molecules to make the tightest knot ever’, Forbes, 13 Jan 2017; ‘Knotty professors: chemists break world record to create tightest knot ever made’, The Guardian, 12 Jan 2017; ‘Eight crossings and 192 atoms long: the tightest knot ever tied’, New York Times, 16 Jan 2017; ‘Knotty but nice: scientists tie tightest knot ever from string of atoms’, Daily Telegraph, 12 Jan 2017; ‘Molecular knots’, C. Byfleet, Knotting Matters (magazine of the International Guild of Knot Tyers), Issue 134, March 2017; ‘Molecules tied into beautiful ‘octofoil’ knot for first time’, New Scientist, 12 Jan 2017; ‘Scientists tie tightest knot ever’, Science Now, 12 Jan 2017; ‘New molecular knot is most complex yet’, Science News, 12 Jan 2017; ‘Team tie world’s smallest knot’, Naked Scientists, 12 Jan 2017; ‘Knot not easy to knot’, Scientific American, 18 Jan 2017; ‘Manchester scientists tie the tightest knot ever achieved’, Phys Org, 12 Jan 2017; ‘This tiny knot is the tightest ever tied’, ResearchGate, 12 Jan 2017; ‘Molecular knot is the tightest tied structure yet’, IFL Science, 12 Jan 2017; ‘Behold: The tightest knot ever’, Gizmondo, 13 Jan 2017; ‘Scientists have twisted molecules into the tightest knot ever’, Morning Edition, National Public Radio (USA), 12 Jan 2017; ‘Twisted Science: Tying the strongest molecular knot’, Science Friday, 13 Jan 2017; ‘Scientists have tied molecules into the tightest knot ever created’, Science Alert, 12 Jan 2017; 'Tiny knots, untold possibilities', Today's Science, Feb 2017; ‘Scientists tie the tightest knot ever: Here's how they did it’, Tech Times, 13 Jan 2017; ‘The tightest molecular knot ever created is 10,000 times thinner than a human hair’, International Business Times, 13 Jan 2017; ‘British scientists have tied the tightest knot ever’, Motherboard, 12 Jan 2017; ‘That's not a knot: Scientists tie tightest knot ever’, New Atlas, 13 Jan 2017; ‘Chemists just tied the tightest knot of all time’, Nature World News, 13 Jan 2017; ‘Scientists tie the tiniest, tightest knot ever’, News Channel 5 (USA), 13 Jan 2017; ‘Scientists have tied the tightest knot of all time’, Popular Mechanics, 12 Jan 2017; ‘Record knot could unravel techniques for new materials’, Science Focus, 12 Jan 2017; ‘Molecules form tightest knot’, CERN Courier, March 2017; ‘Chemists tie the smallest ever knot’, The University of Sydney News, 1 Feb 2017; ‘El nudo más pequeño jamás creado que revolucionará la ingeniería de materiales (in Spanish)’, El Mundo, 13 Jan 2017; ‘Científicos atan un nudo tan pequeño como la millonésima parte de un pelo (in Spanish)’, Hipertextual, 12 Jan 2017; ‘Científicos atan el nudo más apretado del mundo (in Spanish)’, ABC, 12 Jan 2017; ‘Aprendiendo a tejer con moléculas (in Spanish)’, El País, 15 Jan 2017; ‘Científicos crean la trenza más pequeña del mundo (in Spanish)’, Scientific American Español, 12 Jan 2017; ‘La trenza más pequeña del mundo (in Spanish)’, Sinc, 12 Jan 2017; ‘Gana ductilidad nudo molecular (in Spanish)’, Reforma, 23 Jan 2017; ‘Der engste Knoten der Welt (in German)’, Der Spiegel, 16 Jan 2017; ‘Winzig und doch so komplex (in German)’, Frankfurter Allgemeine, 23 Jan 2017; ‘Molekularer knoten (in German)’, Pro-physik, 12 Jan 2017; ‘Chemiker erschaffen molekularen "Super-Knoten" (in German)’, Scinexx, 13 Jan 2017; ‘Lagde verdens strammeste knute (in Norwegian)’, NRK, 12 Jan 2017; ‘Tässä on maailman tiukin solmu – kokoa vain 20 millimetrin miljoonasosaa (in Finnish)’, AAMULEHTI, 12 Jan 2017; ‘Chemici leggen strakste knoop ooit (in Dutch)’, De Standaard, 17 Jan 2017; ‘Forskere binder superkompleks knude af atomer (in Danish)’, Jyllands Posten, 13 Jan 2017; ‘Knude (in Danish)’, Weekendavisen, 13 Jan 2017; ‘Nodi molecolari per i supermateriali di domani (in Italian)’, Le Scienze, 13 Jan 2017; ‘Il nodo molecolare più piccolo al mondo (in Italian)’, Wired Italy, 13 Jan 2017; ‘Ceci est le plus petit nœud moléculaire du monde (in French)’, Sciences et Avenir, 13 Jan 2017; ‘Le nœud le plus serré jamais réalisé à ce jour (in French)’, canoe.ca, 12 Jan 2017; ‘Royaume-Uni: Ils créent le nœud le plus serré au monde, 200.000 fois plus fin qu’un cheveu (in French)’, 20 minutes, 13 Jan 2017; ‘Noeud moléculaire, coton-tige et méga tourbière: une semaine de science en images (in French)’, Le Temps, 12 Jan 2017; ‘Haute couture moléculaire (in French)’, La Recherche, Mars 2017, p. 24; ‘Quand la chime rejoint la théorie des noeuds (in French)’, Quadrature, issue 104, Jan-Mar 2017, p. 2; ‘Ученые скрутили молекулу в кельтский узел (in Russian)’, Gazeta, 13 Jan 2017; ‘科学家打出“最紧的结 (in Chinese)’, ScienceNet, 15 Jan 2017; ‘Braided molecule becomes tightest knot ever known’, i Newspaper, 20 Dec 2017; ‘Molecular knot wins record for "world's tightest"’, Phys.org, 19 Dec 2017; ‘And the Guinness World Record for tightest knot goes to…’, Quartz, 20 Dec 2017; ‘Molecular knot gets Guinness world record’, Chem World, 21 Dec 2017; ‘Molecules of the Year 2017’, Chem & Eng News, 4 Dec 2017; ‘Chemists break record for tightest ever knot’, 2017s Biggest Chemistry Stories, CompoundChem, 30 Dec 2017; ‘Tightest knotted structure’, 2019 Guinness Book of World Records, and many others]
- 'Genesis of the Nanomachines: The 2016 Nobel Prize in Chemistry’, D A Leigh, Angew Chem Int Ed, 55, 14506-14508 (2016).

- 'Tying a molecular overhand knot of single handedness and asymmetric catalysis with the corresponding pseudo-D3-symmetric trefoil knot’, G Gil-Ramírez, S Hoekman, M O Kitching, D A Leigh, I Vitorica-Yrezabal, G Zhang, J Am Chem Soc, 138, 13159-13162 (2016).

[For a highlight of this paper see, ‘Chiral complexes tie the knot’ Chem World, 6 Oct 2016]
- 'Triply-threaded [4]rotaxanes’, J J Danon, D A Leigh, P R McGonigal, J W Ward and J Wu, J Am Chem Soc, 138, 12643-12674 (2016).

[For a highlight of this paper see, ‘Chemists cultivate ‘macromolecular wheatsheaf’’ Chem World, 20 Sep 2016]
- ‘Allosteric initiation and regulation of catalysis with a molecular knot’, V Marcos, A J Stephens, J Jaramillo-Garcia, A L Nussbaumer, S L Woltering, A Valero, J-F Lemonnier, I J Vitorica-Yrezabal, D A Leigh, Science, 352, 1555-1559 (2016).
How it works.

[For highlights of this paper see, ‘Molecular knot ties up anions to catalyse reactions’ Chem & Eng News, 94(26), 8 (2016); ‘Химики синтезировали узлы-пентаграммы и нашли им применение’ (in Russian), nplus1, 25 June 2016; ‘鬼斧神工,分子打结:《Science》报道“五叶结”分子的合成及其催化性质’ (in Chinese), X-MOL, 5 July 2016; ‘Molecular Knot Inducing Allosteric Control of Catalysis’ T M Swager, C-C A Voll, Synfacts, 12, 911 (2016); ‘Nuevos indicios sobre la función de los nudos moleculares’ (in Spanish), UAM Gazette, 15 September 2016; ‘Los nudos y el brexit’ (in Spanish), E M Pérez, An. Quim., 112(3), 130-132 (2016)]
- ‘An autonomous chemically fuelled small-molecule motor’, M R Wilson, J Solá, A Carlone, S M Goldup, N Lebrasseur and D A Leigh, Nature, 534, 235-240 (2016).
How it works.

[For highlights of this paper see: ‘No turning back for motorized molecules' (N&Vs), J Clayden, Nature, 34, 187-188 (2016); ‘Artificial molecular motors: Running on information’ (N&Vs), R D Astumian, Nature Nanotech, published online 13 June 2016; 'Autonomous chemically fueled molecular motor revs up’ (news-of-the-week) [Version in English] [Version in Spanish], Chem & Eng News, 94 (24), 4; ‘Molecular motors start chemically-fuelled journey’ Chem World, published online 9 June; ‘Chemically powered nanomotor goes autonomous’, Nanotechweb, published online 8 June 2016; 'A chemically powered autonomous molecular nanometer’, PhysOrg, published online 9 June 2016; 'Moleculair verbrandingsmotortje, versie 2’ (in Dutch), C2W, published online 9 June 2016; 'Treno molecole per viaggiare nel corpo’ (in Italian), Corriere della Sera, 10 June 2016; ‘使用化学“燃料”的小分子发动机,两篇《Nature》系牛文赏析’ (in Chinese), X-MOL, 16 June 2016; ‘Cutting-edge chemistry in 2016’ Chem World, 15 Dec 2016; ‘The 2016 “Top of the Top” Biophysical Works in the World’ Biophys. Rev. Lett., 11, 127-137 (2016)]
- ‘Making the tiniest machines’, D A Leigh, in ‘Macrocyclic and Supramolecular Chemistry: How Izatt-Christensen Award Winners Shaped the Field’, p. 241-260, Ed. R. M. Izatt, John Wiley & Sons, 2016.

- 'Successive translocation of the rings in a [3]rotaxane’, A M Brouwer, D C Jagesar, P G Wiering, E R Kay and D A Leigh, ChemPhysChem, 17, 1902-1912 (2016).

- 'Asymmetric catalysis with a mechanically point-chiral rotaxane’, Y Cakmak, S Erbas-Cakmak, and D A Leigh, J Am Chem Soc, 138, 1749-1751 (2016).

[For highlights of this paper see: ‘A chiral catalyst with a ring to it’ (N&Vs) S M Goldup, Nature Chem, 8, 404-406 (2016); ‘Rare new form of chirality observed in rotaxanes’, JACS Spotlight, J Am Chem Soc, 138, 2063 (2016)]
- 'Pick-up, transport and release of a molecular cargo using a small-molecule robotic arm’, S Kassem, A T L Lee, D A Leigh, A Markevicius and J Solá, Nature Chem, 8, 138-143 (2016).
How it works.

[For highlights of this paper see: ‘Molecules bearing robotic arms' (N&Vs), I Aprahamian, Nature Chem, 8, 97-99 (2016); ‘Nano-assembly line on the horizon’, Chem World, Feb 2016, p 26; ‘A molecular pickup’ T M Swager, R Zhu, Synfacts, 12, 366 (2016); ‘Molecular arm grabs, transports, releases molecular cargo’ Foresight Institute, 12 Jan 2016; ‘Die guten ins Töpfchen (in german)’ Wissenschaft aktuell, published online 23 Dec 2015; ‘Ein Roboterarm für Moleküle (in german)’ Bild der Wissenschaft, published online 30 Dec 2015; ‘Molekularer Greifarm bewegt einzelne Moleküle (in german)’ Welt der Physik, published online 21 Dec 2015; ‘Cutting-edge chemistry in 2016’ Chem World, 15 Dec 2016]
- 'Artificial molecular machines’ , S Erbas-Cakmak, D A Leigh, C T McTernan and A L Nussbaumer, Chem Rev, 115, 10081-10206 (2015).

- 'Lanthanide template synthesis of trefoil knots of single handedness’, G Zhang, G Gil-Ramírez, A Markevicius, C Browne, I J Vitorica-Yrezabal and D A Leigh, J Am Chem Soc, 137, 10437-10442 (2015).

- ‘Rise of the molecular machines’, E R Kay and D A Leigh, Angew Chem Int Ed, 54, 10080-10088 (2015).

- ‘Strong and selective anion binding within the central cavity of molecular knots and links’, J-F Ayme, J E Beves, C J Campbell, G Gil-Ramírez, D A Leigh and A J Stephens, J Am Chem Soc, 137, 9812−9815 (2015).

[For a highlight of this paper see: ‘Ready or knot, here come synthetic anion-binding molecules’, JACS Spotlight, J Am Chem Soc, 137, 9759 (2015)]
- 'Goldberg active template synthesis of a [2]rotaxane ligand for asymmetric transition metal catalysis’, S Hoekman, M O Kitching, D A Leigh, M Papmeyer and D Roke, J Am Chem Soc, 137, 7656-7659 (2015).

[For a highlight of this paper see: ‘Enantioselective Michael addition using a Nickel/rotaxane catalyst’, M Lautens, Z Qureshi, Synfacts, 11, 839 (2015).]
- 'Artificial switchable catalysts’ , V Blanco, D A Leigh and V Marcos, Chem Soc Rev, 44, 5341-5370 (2015).

- 'A Solomon link through an interwoven molecular grid’ , J E Beves, J J Danon, D A Leigh, J-F Lemonnier, and I J Vitorica-Yrezabal, Angew Chem Int Ed, 54, 7555-7559 (2015). Featured on the cover of Angew Chem Int Ed.

- 'Catenanes: Fifty years of molecular links’ , G Gil-Ramírez, D A Leigh and A J Stephens, Angew Chem Int Ed , 54, 6110-6150 (2015).

- ‘A mechanically interlocked molecular system programmed for the delivery of an anticancer drug’, R Barat, T Legigan, I Tranoy-Opalinski, B Renoux, E Péraudeau, J Clarhaut, P Poinot, A E Fernandes, V Aucagne, D A Leigh and
S Papot, Chem Sci, 6, 2608-2613 (2015).

- ‘Selecting reactions and reactants using a switchable rotaxane organocatalyst with two different active sites’, J Beswick, V Blanco, G De Bo, D A Leigh, U Lewandowska, B Lewandowski and K Mishiro, Chem Sci, 6, 140-143 (2015).

[For highlights of this paper see: 'One rotaxane, two catalytic stories’ Chem World, 3 Dec 2014; ‘Switching activation modes in an organocatalyst’ Chem Sci Blog, 19 Nov 2014.]
- 'A rotaxane-like supramolecular assembly featuring orthogonal recognition modes’, D Menozzi, D A Leigh, E Dalcanale, Asian J Org Chem, 4, 204-207 (2015).

- ‘Rotaxane catalysts’, D A Leigh, V Marcos and M R Wilson, ACS Catal, 4, 4490-4497 (2014).

- ‘A simple and highly effective ligand system for the copper(I)-mediated assembly of rotaxanes’, C J Campbell, D A Leigh, I J Vitorica-Yrezabal, S L Woltering, Angew Chem Int Ed, 53, 13771-13774 (2014).

- "Exploring the activation modes of a rotaxane-based switchable organocatalyst”, V Blanco, D A Leigh, U Lewandowska, B Lewandowski and V Marcos, J Am Chem Soc, 136, 15775-15780 (2014).

[For a highlight of this paper see: 'The multiple lives of a switchable catalyst’ JACS Spotlight, J Am Chem Soc, 136, 15109-15110 (2014).]
- "A Star of David Catenane", D A Leigh, R G Pritchard and A J Stephens, Nature Chem, 6, 978–982 (2014).
Full Article.
How it works.
Video.

[For highlights of this paper see: 'Molecular topology: Star-crossed self-assembly (N&Vs)’ G H Clever, Nature Chem, 6, 950–952 (2014); ‘Molecular knot shaped like a Star of David’ Chem World, published online 22 Sept 2014; 'Star of David recreated as a molecular knot' Scientific American, 24 Sept 2014; ‘Scientists create a ‘Star of David’ molecule — a step towards molecular chainmail’ Washington Post, 22 Sept 2014; 'Generating a molecule with star quality’ NY Times, 29 Sept 2014; 'Star of David' molecule created after decades of effort’ Huffington Post, 22 Sept 2014; 'New star-shaped molecule breakthrough’ Nanowerk, 22 Sept 2014; ‘New star-shaped molecule most complex ever created’ Sci Comput, 22 Sept 2014; ‘New 'star' shaped molecule breakthrough’ Science Daily, 22 Sept 2014; 'Discovery of new star-shaped molecule could help develop artificial molecular chainmail’ Azom.com, 22 Sept 2014; 'Get ready for miraculous chainmail made with "Star of David” molecules’ IO9, 22 Sept 2014; ‘New 'star' shaped molecule breakthrough’ Phys Org, 22 Sept 2014; 'Starry eyed’ C&EN ChemPics, 25 Sept 2014; and many others]
- "Lanthanide template synthesis of a molecular trefoil knot" J-F Ayme, G Gil-Ramírez, D A Leigh, J-F Lemonnier, A Markevicius, C A Muryn and G Zhang, J Am Chem Soc, 136, 13142-13145 (2014).

- "The self-sorting behavior of circular helicates and molecular knots and links”, J-F Ayme, J E Beves, C J Campbell and D A Leigh, Angew Chem Int Ed, 53, 7823–7827 (2014).

- "Synthetic molecular walkers”, D A Leigh, U Lewandowska, B Lewandowski and M R Wilson, Top. Curr. Chem., 354, 111-138 (2014).

- "Efficient assembly of threaded molecular machines for sequence-specific synthesis", G De Bo, S Kuschel, D A Leigh, B Lewandowski, M Papmeyer and J W Ward, J Am Chem Soc, 136, 5811−5814 (2014).

[For a highlight of this paper see: ‘A more efficient way to thread a molecular machine’ JACS Spotlight, J Am Chem Soc, 136, 5820 (2014)]
- "A switchable [2]rotaxane asymmetric organocatalyst that utilizes an acyclic chiral secondary amine", V Blanco, D A Leigh, V Marcos, J A Morales-Serna, and A L Nussbaumer, J Am Chem Soc, 136, 4905–4908 (2014).

[For a highlight of this paper see: 'Ring around the catalyst' Chem & Eng News, 92(14), 35 (2014)]
- "Probing the mobility of catenane rings in single molecules", A Van Quaethem, P Lussis, D A Leigh, A-S Duwez and C-A Fustin, Chem Sci, 5, 1449-1452 (2014).

[For a highlight of this paper see: ‘A catenane in action’ Nature Nanotech, 9, 161 (2014)]
- "Towards metal complexes that can directionally walk along tracks: Controlled stepping of a molecular biped with a Palladium(II) foot", J E Beves, V Blanco, B A Blight, R Carrillo, D M D’Souza, D C Howgego, D A Leigh, A M Z Slawin and M D Symes, J Am Chem Soc, 136, 2094–2100 (2014).

[For a highlight of this paper see: 'Molecular Walker' N P Freestone, Chem. & Ind., 78, 52 (2014)]
- "Water lubricates hydrogen-bonded molecular machines" M R Panman, B H Bakker, D den Uyl, E R Kay, D A Leigh, W J Buma, A M Brouwer, J A J Geenevasen and S Woutersen, Nature Chem, 5, 929-934 (2013).

[For highlights of this paper see: 'Water lubricates molecular machines' Chem & Eng News, 91(35), 43 (2013); 'Water acts as a lubricant for molecular machines' Chem World, 1 Sept 2013]
- "AAAA-DDDD quadruple hydrogen bond arrays featuring NH…N and CH…N hydrogen bonds" D A Leigh, C C Robertson, A M Z Slawin and P I T Thomson, J Am Chem Soc, 135, 9939–9943 (2013).

- "One Dimensional Random Walk of a Synthetic Small Molecule Towards a Thermodynamic Sink", A G Campaña, D A Leigh and U Lewandowska, J Am Chem Soc, 135, 8639−8645 (2013).

- "Tetrameric Cyclic Double Helicates as a Scaffold for a Molecular Solomon Link", J E Beves, C J Campbell, D A Leigh and R G Pritchard, Angew Chem Int Ed, 52, 6464–6467 (2013). Featured on the cover of Angew Chem Int Ed. [VIP paper]

- "Induction of Motion in a Synthetic Molecular Machine: Effect of Tuning the Driving Force", J Baggerman, N Haraszkiewicz, P G Wiering, G Fioravanti, M Marcaccio, F Paolucci, E R Kay, D A Leigh and A M Brouwer, Chem Eur J, 19, 5566–5577 (2013).

- "Template synthesis of molecular knots",
J-F Ayme, J E Beves, C J Campbell and D A Leigh, Chem Soc Rev, 42, 1700-1712 (2013). Featured on the cover of Chem Soc Rev.
- "Sequence-Specific Peptide Synthesis by an Artificial Small-Molecule Machine",
B. Lewandowski, G. De Bo, J. W. Ward, M. Papmeyer, S. Kuschel, M. J. Aldegunde, P. M. E. Gramlich, D. Heckmann, S. M. Goldup, D. M. D’Souza, A. E. Fernandes and D. A. Leigh, Science, 339, 189-193 (2013).
Full Article.
News & Views.
How it works.
Video.
BBC Radio Manchester (Andy Crane Show, 11 Jan 2013).
BBC Five Live (Nicky Campbell Show, 11 Jan 2013).
BBC Radio Wales (Good Morning Wales, 11 Jan 2013).
BBC World Service (Science in Action, 10 Jan 2013).
RTBF - La Première (O Positif, 4 Feb 2013).


[For highlights of this paper see: 'Interlocked molecules: A molecular production line (N&Vs)' P R McGonigal, J F Stoddart, Nature Chem, 5, 260-262 (2013); 'A supramolecular peptide synthesizer' J Bertran-Vicente, C P R Hackenberger, Angew Chem Int Ed, 52, published online 17 May 2013; 'A rotaxane Turing machine for peptides' C M Wilson, A Gualandi and P G Cozzi, ChemBioChem, published online 3 June 2013; 'Molecular robot mimics life's protein-builder' Nature, 493, 274 (2013); 'Robot ribosome (News of the Week)' Chem & Eng News, 91(2), 5 (2013); 'Peptide pick up' Nature Nanotech, 8, 75 (2013); 'Chemistry riffs on the ribosome (Spotlight)' J G Underwood, ACS Chem Biol, 8, 273-273 (2013); 'Synthesis of a peptide with an artificial molecular machine' T M Swager, D K Frantz, SynFacts, 9, 273 (2013); 'Rotaxane mimics ribosome to spin out peptides' Chem World, 10 Jan 2013; 'Nanomachine mimics nature's protein factory' New Scientist, 10 Jan 2013; 'Tiny molecular machine apes cellular production line' BBC News, 11 Jan 2013; 'Uni’s mini marvel' Manchester Evening News, 16 Jan 2013; 'Molecular machines could lead to more efficient manufacturing' The Engineer, 10 Jan 2013; 'An artificial peptide-making machine' ASBMB Today, 10 Jan 2013; 'Complex nanomachine mimics how molecules are made in nature' AtoZNano, 11 Jan 2013; 'Molecular machine could hold key to more efficient manufacturing' Bio-Medicine, 10 Jan 2013; 'A machine that spits out peptides' BioTechniques, 10 Jan 2013; 'Vers un ribosome artificial?' (in French) La Recherche, March 2013, p30; 'Quand une molécule fait de l’assemblage' (in French) L'Usine Nouvelle, 10 Jan 2013; 'Un nanorobot qui synthétise des protéines' (in French) Futura Sciences, 15 Jan 2013; 'Molekulare Maschine baut am Fließband' (in German), Spektrum, 10 Jan 2013; 'Una máquina molecular para una fabricación más eficiente' (in Spanish) Europa Press, 10 Jan 2013; 'Máquinas moleculares: Moléculas que fabricam moléculas' (in Spanish) Inovação Tecnológica, 11 Jan 2013; 'Un ‘robot’ molecular actúa como los ribosomas' (in Spanish) SINC, 10 Jan 2013; 'Pod kierunkiem polskiego naukowca powstał sztuczny rybosom' (in Polish) Newsweek Poland, 10 Jan 2013; 'Nep-ribosoom imiteert de eiwitfabriek van ons lichaam' (in Dutch) Volkskrant, 15 Jan 2013; 'Microscopic machine mimics the ribosome, forms molecular assembly line' ExtremeTech, 14 Jan 2013; 'World’s most advanced molecule maker created' FirstPost, 11 Jan 2013; 'Molecular machine could yield more efficient manufacturing' Digital Manufacturing Report, 11 Jan 2013; 'Molecular machine mimics cellular production line' Institute of Nanotechnology, 14 Jan 2013; 'Artificial molecular manufacturing machine mimics nature' Kurzweil AI, 11 Jan 2013; 'World's most advanced molecule maker created' MSN News, 14 Jan 2013; 'Molecular machine could hold key to more efficient manufacturing' Scimetrica, 11 Jan 2013; 'Artificial nanomachine could hold key to more efficient manufacturing' Nanowerk, 10 Jan 2013; 'Artificial molecular machine: Making molecules that make molecules' NanoWiki, 10 Jan 2013; 'Proof of concept molecular machine that slowly mimics the work of a ribosome to assemble peptides' NextBigThing, 11 Jan 2013; 'Artificial molecular machine could hold key to more efficient manufacturing' PhysOrg, 10 Jan 2013; 'New ribosome-inspired molecular machine developed' RedOrbit, 13 Jan 2013; 'Molecular robot mimics the ribosome' SciTechDaily, 11 Jan 2013; 'Experts develop nanomachine that mimics ribosomes' Prensa Latina, 11 Jan 2013; 'World's most advanced molecule maker created' Times of India, 11 Jan 2013; 'Molecular assembler finally created' GizMag, 26 Jan 2013; 'Synthetic ribosomes: Making molecules that make molecules' R. D. Sleator, Bioengineered, 4(2), 1-2 (2013); 'Creating the creators: nanomachine mimics protein synthesis' OBR Review, 3rd June 2013; ‘Highlights of 2013’ Nachrichten aus der Chemie, 62, 293-294 (2014); 'Ribosome Robot' in Breakthroughs of the Year 2013, Science, 342, 1441 (2013); 'Top Chemistry Moments of 2013', C&EN Webinar, 10 Jan 2014; and many others]
- "A scalable synthesis of 5,5'-dibromo-2,2'-bipyridine and its stepwise functionalization via Stille couplings",
D M D'Souza, D A Leigh, M Papmeyer and S L Woltering, Nature Protocols, 7, 2022–2028 (2012).

- "Pentameric Circular Iron(II) Double Helicates and a Molecular Pentafoil Knot",
J-F Ayme, J E Beves, D A Leigh, R T McBurney, K Rissanen and D Schultz, J Am Chem Soc, 134, 9488-9497 (2012).

- "A Three-Compartment Chemically-Driven Molecular Information Ratchet",
A Carlone, S M Goldup, N Lebrasseur, D A Leigh and A Wilson, J Am Chem Soc, 134, 8321-8323 (2012).
[For a highlight of this paper see: 'Ratcheting up to a molecular motor' JACS Spotlight, June 2012.]
- "A Small Molecule That Walks Non-Directionally Along a Track Without External Intervention",
A G Campaña, A Carlone, K Chen, D T F Dryden, D A Leigh, U Lewandowska and K M Mullen, Angew Chem Int Ed, 51, 5480–5483 (2012). Featured on the cover of Angew Chem Int Ed.
[For highlights of this paper see: 'On the right track' Nature Chem, 4, 430-431 (2012); 'Walk on by: The light at the end of the track' D Bradley, SpectroscopyNow, 15 May 2012; 'A Two-Legged Molecule' Angew Chem Int Ed press report, 24 April 2012.]
- "Half-Rotation in a Kinetically Locked [2]Catenane Induced By Transition Metal Ion Substitution", D A Leigh, P J Lusby, A M Z Slawin and D B Walker, Chem Commun, 48, 5826-5828 (2012).

- "A Rotaxane-Based Switchable Organocatalyst",
V Blanco, A Carlone, K D Hänni, D A Leigh and B Lewandowski, Angew Chem Int Ed, 51, 5166-5169 (2012).

[For highlights of this paper see: 'Switchable catalysis' U Lüning, Angew Chem Int Ed, published online 23 July 2012; 'Controlling an organocatalyst with pH' Chem World, 19 April 2012.]
- "Second Generation Specific-Enzyme-Activated Rotaxane Propeptides",
A Fernandes, A Viterisi, V Aucagne, D A Leigh and S Papot, Chem Commun, 48, 2083-2085 (2012).

[Selected as a Chem Commun "Hot Article" 2012]
- "A Synthetic Molecular Pentafoil Knot",
J-F Ayme, J E Beves, D A Leigh, R T McBurney, K Rissanen & D Schultz, Nature Chem, 4, 15-20 (2012).
Full Article. News & Views. How it works. Hologram.
Featured on the front cover of Nature Chemistry issue 1, 4 (2012).
[For highlights of this paper see: 'One-pot pentaknot (N&Vs)' M. J. Hardie, Nature Chem, 4, 7-8 (2012); 'Molecule tied in pentafoil knot' Chem & Eng News, 89(45), 25 (2011); 'Single molecule ties its way into famous knot' New Scientist, 7 Nov 2011; 'Edinburgh atom weaving could strengthen plastic' BBC News, 7 Nov 2011; 'Scots team weaves way to stronger plastics' The Scotsman, 7 Nov 2011; 'Scots breakthrough could lead to creation of stronger plastics' The Herald, 7 Nov 2011; 'Molecule ties itself in a complex knot' Science News, 29 Dec 2011; 'New technique holds promise for lighter, stronger plastics' Eureka magazine, 7 Nov 2011; 'Atom weaving breakthrough hailed' Yahoo! News, 6 Nov 2011; 'Chemists create world’s most complex molecular knot' R&D magazine, 7 Nov 2011; 'Weaving atoms into star-shapes can produce stronger plastics, say Scots scientists' Daily Record, 7 Nov 2011; 'Scientists hail atom-weaving breakthrough' World News Australia, 7 Nov 2011; 'Des noeuds dans les molecules' (in French) La Recherche, Jan 2012, p15; 'Knot too shabby' The Scottish Sun, 7 Nov 2011; 'Mary Erskine and Stewart's Melville Junior School P6C "Positive People" Nomination', 14 Nov 2011; Radio interview with Professor Leigh BBC Radio Scotland, Newsdrive, 7 Nov 2011; 'Knotted molecule' Chem World, Dec 2011; 'Cutting-edge chemistry in 2011' Chem World, 20 Dec 2011; 'Image of the Year' Diamond Light Source, 21 Dec 2011; etc.]
- "Time-Resolved Vibrational Spectroscopy of a Molecular Shuttle",
M R Panman, P Bodis, D J Shaw, B H Bakker, A C Newton, E R Kay, D A Leigh, W J Buma, A M Brouwer and S Woutersen, Phys Chem Chem Phys, 14, 1865-1875 (2012).
Featured on the front cover of Phys Chem Chem Phys issue 6, 14 (2012).
- "Strategies and Tactics for the Metal-Directed Synthesis of Rotaxanes, Knots, Catenanes and Higher Order Links",
J E Beves, B A Blight, C J Campbell, D A Leigh and R T McBurney, Angew Chem Int Ed, 50, 9260-9327 (2011).

- "Active Metal Template Synthesis of a Molecular Trefoil Knot",
P E Barran, H L Cole, S M Goldup, D A Leigh, P R McGonigal, M D Symes, J Wu and M Zengerle, Angew Chem Int Ed, 50, 12280-12284 (2011).
Featured on the cover of Angewandte Chemie, issue 51, 2011.
[For highlights of this paper see: 'Combining coordination chemistry and catalysis to tie a knot by an active-metal template strategy' C Romuald and F Coutrot, Angew Chem Int Ed, 51, 2544-2545 (2012).]
- "A Single Synthetic Small Molecule that Generates Force Against a Load",
P Lussis, T Svaldo-Lanero, A Bertocco, C-A Fustin, D A Leigh and A-S Duwez, Nature Nanotech, 6, 553-557 (2011).

[For highlights of this paper see: 'Manmade Molecular Machine Goes To Work' Chem World, 22 Aug 2011; 'Measuring the Force of a Single Synthetic Small Molecule' Nanowerk, 26 Aug 2011; etc.]
- "Phosphorus-Based Functional Groups as Hydrogen Bonding Templates for Rotaxane Formation",
R Ahmed, A Altieri, D M D'Souza, D A Leigh, K M Mullen, M Papmeyer, A M Z Slawin, J K Y Wong and J D Woollins, J Am Chem Soc, 133, 12304-12310 (2011).

- "Sulfur-Containing Amide-Based [2]Rotaxanes and Molecular Shuttles",
A Altieri, V Aucagne, R Carrillo, G J Clarkson, D M D'Souza, J A Dunnett, D A Leigh and K M Mullen, Chem Sci, 2, 1922-1928 (2011).

- "En Route to a Molecular Sheaf: Active Metal Template Synthesis of a [3]Rotaxane with Two Axles Threaded through One Ring",
H M Cheng, D A Leigh, F Maffei, P R McGonigal, A M Z Slawin and J Wu, J Am Chem Soc, 133, 12298-12303 (2011).

- "IR Spectroscopy on Jet-Cooled Isolated Two-Station Rotaxanes",
A M Rijs, E R Kay, D A Leigh and W J Buma, J Phys Chem A, 115, 9669-9675 (2011).

- "Bimodal Dynamics of Mechanically Constrained Hydrogen Bonds Revealed by Vibrational Photon Echoes",
P Bodis, S Yeremenko, J Berná, W J Buma, D A Leigh and S Woutersen, J Chem Phys, 134, 134504 (2011).

- "Walking Molecules",
M von Delius and D A Leigh, Chem Soc Rev, 40, 3656-3676 (2011).

[For a highlight of this paper see: 'Synthetic Strollers', S Everts, Chem & Eng News, 89(12), 43-45 (2011); 'Walking in the nanoworld', M Gross, Chem Ind, 10 Oct 2011, p20-22. Top 10 most highly accessed Chem Soc Rev article March 2011.]
- "An AAAA-DDDD Quadruple Hydrogen-Bond Array",
B A Blight, C A Hunter, D A Leigh, H McNab and P I T Thomson, Nature Chem, 3, 244-248 (2011).

[For a highlight of this paper see: 'Attractive Arrays', A J Wilson, Nature Chem, 3, 193-194 (2011).]
- "Light-Driven Transport of a Molecular Walker in Either Direction along a Molecular Track",
M J Barrell, A G Campaña, M von Delius, E M Geertsema and D A Leigh, Angew Chem Int Ed, 50, 285-290 (2011). Featured on the front cover of Angewandte Chemie, issue 1, 2011.

[For highlights of this paper see: 'Synthetic Molecular Bipeds', E. M. Pérez, Angew Chem Int Ed, DOI:10.1002/anie.201006946; 'Walking Molecule Follows The Light', S Everts, Chem & Eng News, 88(43), 44 (2010).]
Leigh group
